Pomiary stacjonarne

 

Z otrzymanych wyników oznaczeń należy obliczyć:

  • wartości logarytmów stężeń substancji w poszczególnych pobranych próbkach
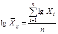
  • średnią arytmetyczną logarytmów , która odpowiada logarytmowi średniej geometrycznej ze wzoru:

    w którym:
    n - liczba próbek pobranych w danym okresie pomiarowym/ zmianie roboczej.
    Wielkość ta, po odlogarytmowaniu stanowi średnią geometryczną wyników oznaczeń,w danym okresie pomiarowym/ zmianie roboczej. W przypadku stwierdzenia w próbce stężenia niższego od oznaczalności metody, logarytm oblicza się z liczby, stanowiącej ½ wartość oznaczalności metody.
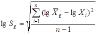
  • logarytm geometrycznego standardowego odchylenia, lgSg, należy obliczać ze wzoru:

    Logarytmy, odpowiednio dolnej (DG) i górnej (GG) granicy przedziału ufności dla średniej wyników pomiarów oblicza się ze wzorów:

    w których:
    t  - wartość parametru Studenta-Fishera dla prawdopodobieństwa 0,95 i liczby
    stopni swobody n-1 (PN-Z-04008-7:2002, zał. B).


Wielkości te, po odlogarytmowaniu stanowią odpowiednio dolną i górną granicę przedziału ufności, w którym z prawdopodobieństwem 95 % znajduje się średnie stężenie substancji w danym okresie pomiarowym. Jeżeli okres pomiarowy pokrywa się ze zmianą roboczą, obliczone wartości DG i GG mogą być wykorzystane bezpośrednio do oceny narażenia zawodowego. W przypadku kilku okresów pomiarowych w czasie jednej zmiany roboczej, wartości średniej geometrycznej i granic przedziału ufności oblicza się, jako średnie ważone odpowiednich wielkości z poszczególnych okresów zgodnie ze wzorem:

podstawiając w nim, jako stężenia odpowiednio DDi, GGi lub w poszczególnych okresach pomiarowych. Dla 8-godzinnej zmiany roboczej suma czasów trwania poszczególnych okresów pomiarowych powinna wynosić 8 h.

Jeżeli którykolwiek z okresów pomiarowych lub 75 % czasu jego trwania jest objęte pomiarami ciągłymi (np. 4 trzydziestominutowe próbki w ciągu dwugodzinnego okresu pomiarowego) należy obliczyć średnie stężenia substancji w danym okresie (średnia arytmetyczna, jeżeli czas pobierania wszystkich próbek był równy lub średnia ważona z uwzględnieniem czasu pobierania poszczególnych próbek, jeżeli nie był on równy). Taką średnią dla danego okresu pomiarowego podstawiać do powyższego wzoru przy obliczaniu średnich ważonych średniej geometrycznej  oraz granic przedziału ufności DGw i GGw (przy pomiarach ciągłych, obejmujących cały okres pomiarowy, średnia jest de facto jednocześnie także i dolną i górną granicą przedziału ufności dla tego okresu).

Jeżeli wyniki oznaczeń wszystkich próbek pobranych w czasie jednego z okresów pomiarowych są niższe od oznaczalności metody, przy obliczaniu odpowiednich średnich ważonych, ze względów praktycznych, przyjmuje się, że zarówno DG, jak i GG dla tego okresu pomiarowego wynoszą zero.